Santos Vicente J1, Crespo Pérez L2, Alonso Cotoner C1, Guagnozzi D1, Lobo B1, Sánchez Muñoz D3, Alventosa Mateu C4, López García JC5, Martínez Alcalá F6, Romero Pérez E7, Fernández Bermejo M8 and Garcia Aguilar E9*
Received: November 28, 2025; Published: February 19, 2026
*Corresponding author: Eva García Aguilar, Medical Department, ITF Research Pharma S.L. San Rafael, 3 - 28108 Alcobendas (Madrid), Spain. e.garcia@italfarmacogroup.com
DOI: 10.26717/BJSTR.2025.64.010021
Irritable bowel syndrome (IBS) is a common gastrointestinal disorder characterized by variable symptoms and a significant impact on quality of life (QoL). Probiotics have demonstrated to be effective and safe for IBS management. More evidence is needed to determine effectiveness of specific probiotic strains combinations. The main objective of this study was to evaluate the clinical response after 8-week administration of a 7-multi-strain synbiotic mixture in adults diagnosed with IBS. To achieve this, a prospective, multicenter study involving 60 adults with IBS, from gastroenterology clinics, receiving 8-week synbiotic therapy was carried out. Symptomatology, IBS severity, bowel habits, and QoL were evaluated at baseline, week 4 and 8 in the overall cohort and by considering IBS phenotype (diarrhea- or constipation-predominant, or mixed subtype). Safety, tolerability, acceptability, and perceived satisfaction were also assessed. Overall, patients experienced an adequate relief of IBS symptoms along the study. From the first week, 35% of patients reported an adequate relief, and this improvement was sustained over time, extending to 75% of patients at week 8 (p = 0.003). There was a statistically significant reduction in intensity and number of days of abdominal pain over time (p=0.0055). Abdominal distension and pain intensity improved from week 3 of therapy (p=0.0004, p=0.0003). The number of daily bowel movements decreased from the first week (p < 0.001), and IBS-QoL improved in all evaluated dimensions throughout the study (p<0.0001). Synbiotic therapy was associated with a favorable safety and tolerability profile, with only 3 flatulence events related to treatment, and no serious adverse events. In conclusion, the 7-multistrain synbiotic therapy effectively relieved symptoms from the first week, significantly reducing overall IBS severity and improving patients’ quality of life, across all IBS subtypes.
Keywords: Synbiotic; Irritable Bowel Syndrome; Abdominal Pain; Quality of Life
Abbreviations: IBS: Irritable Bowel Syndrome; QoL: Quality of Life; IBS-C: IBS With Constipation; IBS-D: IBS With Diarrhea; CFU: Colony Forming Units; SGA: Subjective Global Assessment; VAS: Visual Analog Scale; MCID: The Minimal Clinically Important Difference
Irritable bowel syndrome (IBS) is a common chronic functional gastrointestinal disorder characterized by recurrent abdominal pain and abdominal distension, which is frequently associated with a marked reduction in health-related quality of life (QoL), high psychological burden, and greater impact on social functioning [1-5]. IBS symptoms include bloating, flatulence, abdominal pain, or discomfort always associated with an alteration in bowel habits (altered stool consistency and/or frequency). These symptoms can change over time and mimic other intestinal disorders. This, added to the lack of biomarkers, makes the diagnosis challenging and mostly based on self-reported symptoms [2-4,6]. Considering the predominant bowel habit, assessed by using the Bristol Stool Scale (BSS), IBS can be classified into three subtypes: IBS with constipation (IBS-C), IBS with diarrhea (IBS-D), or IBS with mixed habit (IBS-M) [3]. This syndrome is highly prevalent, being one of the most frequent gastrointestinal functional disorders, only surpassed by constipation and functional dyspepsia [7]. The global incidence has been estimated at around 5-12% and most individuals have a relapsing-remitting course [3,4]. In Spain, the prevalence is over 4% [7] and IBS may represent as much as 25% of gastroenterologist visits, however, these rates are heterogeneous worldwide (ranging from 1% to more than 25%) and they can vary depending on the applied diagnostic criteria [6]. The pathophysiology of IBS is complex and still poorly understood. Multiple potential risk factors, including genetics, diet, gut microbiome alterations, infections, or psychological factors, have been related to this condition [3]. It is considered a gut-brain interaction disorder, characterized by the coexistence of gastrointestinal symptoms and an altered central nervous system processing [2,3,5]. Thus, disturbances in the bidirectional interaction between the central and enteric nervous systems underline the pathophysiology of IBS. These can trigger gut alterations such as visceral hypersensitivity, altered motility, inflammatory responses, and changes in the mucosal intestinal barrier, which mediate IBS symptomatology [1,3]. In turn, gut changes could have effects on the brain, impacting mental health. Recent evidence suggests a potential role of different gut microbiota alterations in IBS pathogenesis, leading to the exploration of novel therapeutic approaches [8]. Some studies have shown a relationship between IBS and dysbiosis (i.e., changes in the intestinal microbiota), in particular, Lactobacillus, Lacticaseibacillus and Bifidobacterium strains seem to be compromised in IBS patients [8,9]. Also, a specific microbiota signature could be associated with the disease severity. The potential role of intestinal microbiota is also supported by the beneficial effects of probiotics supplementation on alleviating IBS symptoms. Probiotics, prebiotics, and synbiotics are alternative therapies that aim to modulate gut microbiota to improve IBS symptoms [10]. Probiotics are “live microorganisms that administered in adequate amounts can confer health benefits on the host”, prebiotics are the substrates for these microorganisms, and synbiotics are a mixture of them that act synergistically conferring benefits on the host health [10,11].
The mechanisms of action of these compounds in IBS include intestinal microbiota modulation, improvement of the barrier function, and anti-inflammatory effects [10-12]. According to a recent meta-analysis, probiotics could provide beneficial effects on relieving global IBS symptoms and abdominal pain, but it was not possible to draw conclusions about a specific combination of probiotics [12]. Along the same line, most of the clinical studies assessing the potential benefits of synbiotics on IBS, have shown improvements in decreasing the intensity of bowel habits and abdominal distension [10]. The primary objective of PRODIGEST study was to evaluate the clinical response after 8-week administration of a 7-multi-strain synbiotic preparation (Prodefen Plus®) in adults diagnosed with IBS.
Study Design
A multicenter, prospective, exploratory study was conducted to evaluate the clinical response and safety of administering a 7-multistrain synbiotic treatment (Prodefen Plus® ITALFARMACO S.A., Alcobendas, Madrid, Spain), a food supplement containing a blend of prebiotics (fructooligosaccharides [FOS]; 990 mg per sachet), vitamin D3 (5μg per sachet), and 7 strains of live microorganisms that naturally inhabit the digestive system as probiotics (per sachet: Lacticaseibacillus rhamnosus GG [formerly Lactobacillus rhamnosus GG] 1x1010 colony forming units [CFU], Lacticaseibacillus casei [formerly Lactobacillus casei], Lactobacillus acidophilus, Bifidobacterium infantis, Streptococcus thermophilus, Lactobacillus delbrueckii subsp. Bulgaricus [formerly Lactobacillus bulgaricus], and Bifidobacterium breve 1x109 CFU). Patients from 9 Spanish gastroenterology clinics were recruited for the study from January 2022 to May 2022. Adults (between 18 and 65 years old) who have a diagnosis of IBS according to international ROME III diagnostic criteria were included in the study. Included patients were classified into subgroups based on their IBS subtype: IBS-C (Constipation type), IBS-D (Diarrhea type), IBS-M (Mixed type) and IBS-U (Unclassified, when the stool pattern cannot lead the categorization). Exclusion criteria were: recent participation in a clinical trial/study; subjects who had taken antibiotics during the last 2 months before the study initiation; subjects who had used synbiotics, prebiotics or probiotics during the last month; pregnant or lactating women ; body mass index (BMI) > 40 kg/m2; severe systemic disease; patients with a history of any psychiatric treatment in the last 2 years; previous abdominal surgery (except appendicectomy and hernia repair); lack of recent sigmoidoscopy or colonoscopy for older patients; allergy to any of the product’s components and; any medical/psychological condition which may interfere with study procedures. Patients received the synbiotic as one sachet per day, during or after meals, dissolved in water at room temperature, for eight weeks. The study involved three on-site visits with the specialist:
1. A baseline visit for the election and inclusion of the patient (day 1 of treatment);
2. A follow-up visit after 4-week treatment (day 28 + 5 of treatment).
3. End-of-study visit after 8-week treatment (day 56 + 5 of treatment).
In addition, patients used a mobile application as a diary to record the necessary information throughout the study. All the participants have signed the written informed consent, and the procedures were conducted in accordance with the Declaration of Helsinki. PRODIGEST study was approved by the Ethics Research Committee of the Puerta del Hierro Hospital of Majadahonda, Madrid (Spain) [RES-6058-C3].
Study Endpoints
To evaluate the clinical response, the primary endpoint was to assess the percentage of patients with adequate relief after 8 weeks by using the Adequate Relief Survey (previously used in IBS clinical trials). Secondary endpoints included:
1. Percentage of patients with an adequate relief over the study (weeks 1-8).
2. Weekly symptom evolution, analyzing mean and percentage changes from baseline using the IBS Symptom Severity Scale (IBSSSS).
3. Daily evolution of abdominal pain, assessing mean and percentage changes from baseline.
4. Weekly evolution of diarrhea/constipation, assessing stool consistency (3-5 on the Bristol Stool Scale (BSS)) and the mean and percentage changes in stool frequency and consistency.
5. Evolution of patients’ quality of life (QoL) according to the IBS – specific Quality of Life questionnaire (IBS-QoL) over the study (weeks 1-8) by assessing mean and percentage changes from baseline in global score and each of the domains. Other secondary endpoints included patient adherence, safety profile (adverse events incidence), and assessment of tolerability, acceptability and satisfaction perceived by patients and investigators by using an ad hoc survey.
Procedures and Data Collection
The Adequate Relief Survey, a Subjective Global Assessment (SGA) of relief for abdominal pain/discomfort and IBS symptoms, was used weekly from baseline to study end [13]. Patients answered “Yes” or “No” to the following question: “Please consider how you felt in the past week with respect to your IBS, in particular your overall well-being and symptoms of discomfort or pain, bloating or distention, and altered bowel habit. Compared to the way you normally felt before starting the study treatment, have you had adequate relief of your IBS symptoms?” The IBS-SSS questionnaire is a validated 5-question instrument used to measure abdominal pain severity (by using a Visual Analog Scale [VAS]) and frequency (number of days), severity of abdominal distension, dissatisfaction with bowel habits, and impact of the disease on the daily activity within the last 10 days [14,15]. Each question is scored from 0 to 100 points and total score ranged from 0 to 500 points, with disease severity defined as mild (75-174), moderate (175-300), and severe (>300) [10]. Abdominal pain was also assessed daily by using a VAS (scores ranging from 0 to 100). The IBSQoL is a validated 30-item self-report questionnaire, used to assess the impact of IBS on quality of life across 9 dimensions (emotional functioning, mental health, sleep, energy, physical functioning, diet, social role, physical role, and sexual relations) [16]. The global score was transformed to a standard 0 (poor QoL) to 100 (maximum QoL) scale.
The Bristol Stool Scale (BSS) classified stool consistency types from hardest (type 1) to softest (type 7). Types 1 and 2 indicated constipation, while types 6 and 7 indicated diarrhea. Types 3, 4, and 5 were considered normal. Data were collected daily for 56 days, with baseline data from the previous 3-4 days [17,18]. During the baseline visit (day 1) the investigator collected demographic, anthropometric and clinical characteristics of patients, relevant medical history and comorbidities, and information regarding concomitant medication. Patients were classified into a subgroup considering their BSS responses referring to 3-4 days prior to their inclusion in the study. In the follow-up visit (day 28 + 5) and during the last visit (day 56 + 5), which coincided with the posterior day after the end of treatment, information related to concomitant medication, adverse events, data from Adequate Relief survey, BSS scale, IBS-SSS and IBS-QoL questionnaires, and patient compliance data was collected. Tolerability, acceptability, and satisfaction of the patient and investigator were assessed during the last visit using a 3-point Likert scale (1–bad, 2–good, 3–excellent). Treatment adherence was estimated by calculating compliance percentages for weeks 4 and 8, classified as poor (<60%), moderate (60-80%), good (80-90%), and very good (>90%). Patients received 40 sachets at baseline and 4-week visits, returning excess product at subsequent visits. Compliance was calculated as [(40 sachets - excess sachets) x 100] / days between visits.
Statistical Analysis
Sample Size Calculation: Based on the results of previous studies conducted on similar IBS populations, it was assumed that the percentage of patients who report having experienced adequate relief from their IBS symptoms in the past week and after 8 weeks of treatment is 50%. Given the aforementioned information, a sample size of 60 subjects was estimated. This calculation assumes the principle of maximum variance [13,19].
Statistical Procedures: Qualitative variables are described by means of absolute and relative frequencies. Quantitative variables were presented as a central tendency (mean, median) and dispersion (standard deviation [SD], interquartile range [Q1, Q3], maximum and minimum). Confidence intervals (95% CI) for the primary and secondary endpoints were presented. When inferential analysis was required, parametric tests were used for continuous variables and nonparametric tests for ordinal, categorical or nonparametric variables. For variables that do not fit the normal (or parametric) distribution, the Mann-Whitney (for unpaired data) or Wilcoxon (for paired data) hypothesis tests will be used. Contingency tables and comparison of proportions and/or frequency distributions will be analyzed using the chi-square test (or Fischer’s exact test when appropriate). Statistical significance was established with p < 0.05. All statistical procedures were performed using Statistical Package for the Social Sciences (SPSS) v.22 software.
Study Population
A total of 60 patients were included in the study. There were no study withdrawals due to loss of efficacy or safety concerns, only 2 patients were lost to follow-up (58 patients completed the study follow- up; (Figure 1)). Demographic, anthropometric and clinical characteristics are summarized in (Table 1). The median age of participants was 34.7 ± 11.4 years old, most of them were women (76.7%) and 27.3% had a family history of IBS. The mean time from diagnosis and symptoms onset was 3.1 ± 6.3 years and 5.1 ± 6.8 years, respectively..
*Data from some patients was missing.
In order to characterize IBS subtype, patients completed the BSS questionnaire giving an estimate of the last 3-4 days prior to the baseline visit. Baseline, the mean number of daily depositions was 4.2 (SD: 3.2), and most of them were classified as “normal” (types 4 and 5) or “abnormally soft” (type 6). Considering baseline BSS responses, patients were classified as IBS-D (35.1%), IBS-C (22.8%), or IBS-M (7.0%) according to their IBS phenotype (Figure 2A). Patient bowel habits which could not be classified into any of these subtypes, 35.1%, were considered as Unclassified (IBS-U).
According to their total basal score to IBS-SSS questionnaire, most patients presented a severe (42.4%) or moderate disease (37.3%; Figure 2B). Regarding abdominal pain, which is the most prevalent symptom of IBS patients, patients evaluated it during the baseline visit (day 1) using a visual analogue scale (VAS), obtaining a mean score of 35.5 ± 23.7 points over 100.
Evolution of IBS Symptomatology
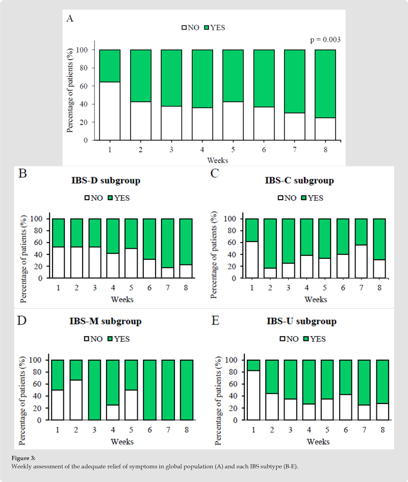
Adequate Relief of Symptoms Survey: From the first week, 35% of patients showed an adequate relief of IBS-associated symptoms, with a sustained increase up to 8 weeks of therapy, reaching 75% of patients reporting a significant relief of IBS symptomatology (Figure 3A). This represents a statistically significant difference compared to week 1 (35.3% vs. 75.0%; p = 0.003). Considering IBS phenotypes, a high proportion of patients had adequate relief of symptoms at weeks 4 and 8 compared to the first week (Figure 3B-E), where IBS-M and IBS-D reported the numerically highest adequate relief rates, 100% and 77.8% respectively. There was a consistent increase in the adequate relief rate of all the IBS subgroups, without statistically significant differences among the IBS subtypes (p = 0.802 and p = 0.797, respectively; Table 2).
95%CI: 95% confidence interval; IBS: irritable bowel syndrome; IBS-C: constipation-predominant IBS; IBS-D: diarrhea-predominant IBS; IBS-M: mixed IBS;
IBS-U: unclassified IBS; N.A.: not available.
*Statistically significantly different from week 1 according to McNemar test.
Evolution of Abdominal Pain: Patients’ abdominal pain, assessed as a VAS score ranging from 0 to 100, was ameliorated during the study. Both mean and median daily scores of abdominal pain decreased through the study follow-up (p = 0.001; Figure 4) with a median percentage of change of -40.5% (VAS Scale Mean change, IQR: -12.7%, -74.6%) (Table 3).
IBS: irritable bowel syndrome; IBS-C: constipation-predominant IBS; IBS-D: diarrhea-predominant IBS; IBS-M: mixed IBS; IBS-U: unclassified IBS; N.A.: not available; Q: quartile; SD: standard deviation.
IBS Severity: Evaluation of IBS-SSS: The total score registered on the IBS-SSS questionnaire decreased from 266.1 ± 100.8 points in week 0 to 214.3 ± 88.6 points in week 1 of therapy and continued decreasing throughout the study (Table 4). The score was reduced by 39.9% at the end of the study (159.8 ± 96.0 points in week 8, p < 0.001; Figure 5). Considering the subgroups, individuals with IBS-D and IBS-M phenotypes presented higher reductions in IBS-SSS scores (-125.0 ± 128.8 and -180.0 ± NA points, respectively) than IBS-C subpopulation (-25.6 ± 57.9 points), without statistically significant differences among the subgroups. Attending to abdominal pain-related questions in IBS-SSS survey (questions 1a, 1b and 2; Supplementary Table 1), the percentage of patients that declare to have suffered from abdominal pain in the last 10 days decreased from 89.8% to 68.3% (Figure 6A). Pain intensity was significantly decreased (p=0.0003), showing a stable improvement from week 3. Also, the number of days experiencing abdominal pain was reduced by 2 days [from 4.9 (3.2) to 2.9 (3.0)] (Figure 6B-C). Regarding abdominal distension, the proportion of patients presenting this symptom and its intensity (questions 3a and 3b) were reduced from baseline to week 8 (from 84.8% with a median intensity score of 60% to 65.9% with a median intensity score of 30%; Figure 6D-E). As observed with abdominal pain, distension intensity was significantly diminished (p=0.0004), showing a stable improvement from week 3.
Q: quartile; SD: standard deviation.
Changes in the Bowel Habit: The average number of daily bowel movements every week was significantly reduced from the first week of treatment (p < 0.001; Figure 7A), with a mean percentage of change of 52.5%. Similar reductions were observed when looking for each IBS subtype, except for individuals with IBS-C phenotype, who obtained a slight increase in depositions (mean percentage reductions were -65.3%, +2.4%, -72.2%, and -71.5% for IBS-D, IBS-C, IBS-M and IBS-U, respectively), with no statistically significant differences among subgroups (p = 0.126).
Evolution of the Quality of Life (IBS-QoL)
The global score obtained in the IBS-QoL questionnaire significantly improved during the study period for the overall sample, increasing from a baseline total score of 56.7 to 69.3 by week 8, which represents a mean percentage of change of 25.5% (p < 0.0001; Figure 8A). When evaluating the different IBS subtypes, IBS-QoL global scores showed the same increasing trend as in the overall cohort, with statistically significantly improvements for IBS-D, IBS-M and IBS-U subtypes (Figure 8A). Statistically significant improvements were observed in the overall cohort after eight weeks of treatment for all the individual dimensions covered in IBS-QoL (Emotional functioning, Mental health, Sleep, Energy, Physical functioning, Diet, Social role, and Sexual relations), except for ‘Physical role’ where a numerical improvement was achieved (Table 5, Figure 8B).
IBS-QoL: Irritable Bowel Syndrome Quality of Life.
Safety Profile
Synbiotic therapy showed a favorable safety and tolerability profile. A total of 15 adverse events (AEs) were collected during the clinical study, with 12 patients (20%) presenting at least one AE (Table 6). Most of the AEs were mild and they did not lead to discontinuation of synbiotic therapy. Only three AEs out of 15 were considered as potentially related to study treatment (flatulence). No serious AEs were reported. Due to the limited sample size, and low rate of AEs, comparisons among the IBS subgroups cannot be performed.
Treatment Adherence, Tolerability, Acceptability, and Perceived Satisfaction
Treatment adherence, calculated as the percentage of compliance, was valued as good [80 – 90%], or very good [>90%] in most cases. Tolerability was estimated as the personal assessment of the treatment with respect to the occurrence or non-occurrence of adverse events and (if any) their severity and discomfort, and acceptability was considered the personal assessment of the treatment by evaluating the organoleptic characteristics, ease, and comfort of use. Most of the patients valued tolerability as excellent (76.8%) or good (21.4%). Moreover, treatment acceptability (Figure 9C) was positively scored by 96.4% of patients (Excellent acceptability: 60.70%, Good accept ability: 35.70%) and most of them were satisfied or very satisfied (Figure 9A-B). Both patients and investigators, showed high rates of satisfaction with the synbiotic therapy. In the overall population, investigator‑perceived satisfaction with the study treatment was rated as very satisfied/satisfied by 83.9% of investigators, and patient‑perceived global satisfaction was reported by 80.4% of patients.
IBS is a highly prevalent gastrointestinal disorder with a great impact on quality of life. However, the underlying pathophysiology is still poorly understood, and its management can be challenging [1,3,20]. PRODIGEST study aims to provide clinical evidence on the therapeutic potential of a 7-multistrain synbiotic in IBS management. Until now, no individual therapy has shown to be completely effective in modifying the course of the disease and there is not much information about their long-term effects [3,20]. For that reason, therapeutic approaches normally aim to improve the most predominant symptoms, abdominal pain and bloating, as well as the patients’ quality of life. Laxatives, antidiarrheals, and antispasmodics are usual first-line therapies for IBS management. Non-pharmacological treatments, such as lifestyle and diet changes, or the use of probiotics and synbiotics are also recommended alone or in combination with pharmacological therapies [3,20].
Our results support the clinical benefits of a 7-multi-strain synbiotic supplementation on symptom alleviation across all the clinical phenotypes of IBS. After 8-week administration, synbiotic reduced abdominal pain (intensity and number of days presenting this symptom), a highly predominant and uncomfortable symptom, that markedly affects patients’ quality of life. Synbiotic treatment also alleviated abdominal distension, contributing to reduce IBS severity, as well as improving patients’ overall quality of life. In line with these results, probiotic and synbiotic supplements have been previously associated with improvement of IBS symptoms in several clinical trials [10-12,21]. Moreover, Cappello, et al. [22] analyzed the efficacy of a 4-week treatment with a multi-strain synbiotic supplement in IBS on a double-blinded, randomized placebo-controlled study [22]. The treatment reduced flatulence significantly (p = 0.038) and abdominal bloating (46.9% in synbiotic group vs. 65.6% in placebo group; p = 0.21). Also, an improvement of QoL was reported in patients treated with the supplement [22]. In contrast, Shavakhi, et al. [23]) found no beneficial effect of the multi-strain synbiotic product over placebo in either of these [23]. Single-strain probiotic products have been also tested for IBS symptom alleviation, with different microorganisms and dosing schedules, which makes it difficult to draw conclusions over their effectivity [24,25].
Despite positive results obtained in clinical trials, there is still limited strain-specific evidence, which hinders the establishment of robust clinical recommendations about probiotic therapy. This study validates a 7-multi-strain synbiotic intervention as an optimal therapeutic option for IBS, providing clinical benefits with a favorable safety and tolerability profile. Patients and study investigators were highly satisfied with the product’s acceptability and its effects. One of the main strengths of PRODIGEST study results is the observed clinical benefits across all IBS subtypes, while many previous IBS clinical studies developed with other probiotic mixtures only included IBS-Diarrhoea patients. Patients’ QoL improved thanks to synbiotic therapy and, not only did we observe a statistically significant difference but also a clinically relevant improvement. The minimal clinically important difference (MCID) for the IBS-QoL has been defined as a change of 10 points in the total score, while in our study we observed an improved of +12,6 in the IBS-QoL global score [26]. In addition, the reduction in IBS-SSS scale across the 8 weeks of treatment with the synbiotic was not only statistically significant, but also clinically relevant. The MCID for the IBS-SSS scale is defined as a change of 50 points in the total score [14], while our study showed an absolute change in the mean score of -106.3 points. This translates into a reduction of IBS severity according to this scale.
The present results should also be interpreted considering a few limitations. The limited number of participants in every individual IBS subtype restricts the interpretation of subpopulation data, especially for IBS-M. The sample size of the study was not calculated to obtain differences between groups, although a trend of potential benefit of the synbiotic across all IBS subtypes can be observed. Another limitation is the lack of a control group to compare the evolution of treated patients with those of non-treated. Nonetheless, synbiotic preparation has demonstrated to be superior to the observed placebo effect in other IBS clinical studies [11,12,21]. Thus, this study’s results add evidence for the effectiveness of this synbiotic compound in IBS therapy, validating an adequate treatment posology recommendation, while complementing the body of evidence behind this 7-multistrain synbiotic mixture.
The present study supports the therapeutic potential of a 7-multistrain synbiotic supplement for IBS symptom alleviation, especially abdominal pain (intensity and frequency) and abdominal distension. The synbiotic treatment provided an adequate relief of symptomatology from the first week, contributing to reduce the overall severity of IBS disease and improving patients’ quality of life, regardless of the IBS subtype. Additionally, the synbiotic preparation presented a favorable safety and tolerability profile, with a high rate of patient’s satisfaction and treatment acceptability.
The authors would express gratitude to Meisys S.L. (Madrid, Spain) for writing assistance.
This study was funded by ITF Research Pharma S.L.U.
EGA is a full-time employee of ITF Research Pharma SLU. The article reflects the views of the authors and not necessarily those of the funder. The rest of authors declare no potential conflict of interest concerning the area of research.
Conceptualization, EGA; methodology, EGA; formal analysis, JSV, LCP, CAC, DG, BL, DSM, CAM, JCLG, FMA, ERP, MFB and EGA; writing— original draft preparation, EGA; writing-review and editing, JSV, LCP, CAC, DG, BL, DSM, CAM, JCLG, FMA, ERP, MFB and EGA. All authors have read and agreed to the published version of the manuscript. The authors decline the use of artificial intelligence, language models, machine learning, or similar technologies to create content or assist with writing or editing of the manuscript.
