Jesús Ceballos-Torres, Antonio J Segura-Muñoz and Javier Diaz-Castro*
Received: December 10, 2024; Published: December 18, 2024
*Corresponding author: Javier Diaz-Castro, Department of Physiology, Faculty of Pharmacy, Campus Universitario de Cartuja, University of Granada, 18071 Granada, Spain and Institute of Nutrition and Food Technology “José Mataix Verdú”, University of Granada, 18071 Granada, Spain
DOI: 10.26717/BJSTR.2024.60.009386
It is estimated that the incidence of cancer cases has increased 2.5 times in the last two decades. Despite this increase, adequate and timely care has led to a decrease in the mortality rate in the same period. However, the scientific community remains interested in the study and development of alternatives that help control, prevent and diagnose this type of disease. This narrative review summarizes the effects of the main groups of drugs extracted from plants that have been used in the fight against cancer during the last decades. The importance of natural resources in the discovery of new drugs is highlighted, from ancient times to the present day, with special emphasis on those derivatives that have been used in different chemotherapeutic treatments. The most important plant-based drugs used as cytotoxic agents are also described. To do this, the section has been divided into several blocks, depending on the mechanism of action of this type of compounds. Finally, the most relevant conclusions that have been drawn during this bibliographic review are presented.
Keywords: Cancer; Natural Products; Plants Compounds; Tubulin; DNA Polymerase; Angiogenesis; Histone Deacetylases; Mitotic Kinases
Abbreviations: VEGF: Vascular Endothelial Growth Factor; SCLC: Small Cell Lung Carcinoma; MSH: Medical Subject Heading; MMP: Matrix Metalloproteins; SAR: Structure-Activity Relationship; HAT: Histone Acetyltransferases; HDAC: Histone Deacetylases; CDKS: Cyclin-Dependent Kinases; PPAR: Peroxisome Proliferator-Activated Receptors; CLL: Chronic Lymphocytic Leukemia
Since ancient times, our ancestors have looked to plants and other organisms present in nature not only for a way to obtain energy for their metabolic reactions, but also as a method to treat different types of conditions related to human health. In the Ebers Papyrus, one of the oldest known medical treatises and written in Ancient Egypt (around 1500 BC), different types of diseases related to the medicine of the time were already collected, along with their corresponding symptoms and possible treatments, as well as a long list of plants with supposed healing effects [1] In the centuries that followed and up to the present day, the great increase in life expectancy achieved during the 20th century thanks to scientific advances (mainly in different areas of medicine, biology and chemistry) has led to the appearance of new diseases that did not exist or were not important thousands of years ago. One of these diseases is cancer, which is currently the main cause of death in developed countries, even ahead of cardiovascular diseases. Cancer is a disease directly related to cellular aging, so it generally manifests itself at advanced ages and in the past it did not have a significant prevalence, mainly because life expectancy was not as high as it is today. This is why the research carried out during the last decades in the field of the fight against cancer has focused on the search for therapeutic solutions. A significant proportion of current cancer treatments are derived from active ingredients extracted from plant sources such as plants [2] different microorganisms such as bacteria, or even some marine species.
There are a large number of natural chemical compounds derived from plants that have become indispensable for modern pharmacotherapy and for chemotherapy treatment against cancer. Classic examples of these compounds are taxol (Paclitaxel) and some derivatives extracted from different species of the Taxus genus, vincristine and vinblastine from the Madagascar periwinkle (Catharanthus roseus (L.) G. Don, belonging to the Apocynaceae family), camptothecin and other related compounds extracted from the bark and leaves of the Chinese tree Camptotheca acuminata Decne [3] of the Cornaceae family or artemisinin originally present in the Chinese species Artemisia annua L. belonging to the Asteraceae family, a first-choice drug against malaria caused by the Plasmodium falciparum species, and which is currently being investigated for its possible antineoplastic properties, along with other chemical analogues [4] Focusing on cancer, this narrative review analyses the most significant antineoplastic compounds that have been extracted from plants in recent decades, briefly reviewing their history and commenting on the main aspects of their antitumour mechanism of action. Throughout the text, the importance of chemical synthesis in obtaining the active ingredient in adequate quantities to allow preclinical and clinical trials to be carried out is emphasized. These quantities are in most cases insufficient when they are extracted directly from the natural source using typical extraction processes.
The bibliographic research utilized the main biomedical databases and sources, including Medline (via PubMed), the Cochrane Library, Elsevier, and Dialnet, limiting the search to the last 10 years. Among the articles found, only those publications addressing the subject of this narrative review were included. Only articles in English have been accepted from the search since it is the lingua franca of science. As for the keywords applied, these included anticancer drugs, anticancer agents from plants, antitumoral, plant natural products or cancer research. The use of medical subject heading (MSH) was also taken into consideration in those words possibly leading to a misunderstanding in the browser. In addition, the boolean operators “AND” and “OR” were combined with keywords in order to find more pertinent articles. In this sense, “AND” was used between terms to increase both the sensitivity and specificity of the search The inclusion criteria considered were the following: controlled trials, observational studies, animal models, in vitro studies, and meta-analysis; publication within the last 10 years; and English language. Exclusion criteria included: absence of abstract and publication in a language different from English.
Compounds that Interact with Tubulin
Proteins called tubulins are a family of globular proteins that assemble in a highly organized manner to generate one of the main components of the cytoskeleton, the so-called microtubules. In addition to being an important part of the cytoskeleton of the cell interior, these proteins are involved in a large number of vital cellular functions for cells. One of these functions is related to cell multiplication since microtubules are responsible for the movement of cytoplasmic organelles during interphase and the subsequent stage of mitosis, also forming part of the mitotic spindle that transports daughter chromosomes to the two poles of the dividing cell. For this reason, chemical compounds that interact with tubulin will lead to an alteration in cell multiplication since the alignment and correct movement towards the poles of the daughter chromosomes will be prevented. This effect causes the arrest of mitosis in the transition stage between metaphase and anaphase, activating the apoptotic machinery and leading to cell death [5]. Thus, thanks to this effect, active ingredients such as vinblastine, vincristine and other Its derivatives, as well as taxanes, have been used in the treatment of cancer for decades.
Taxanes
Taxanes are a class of antineoplastic drugs that act by stopping cell growth by inhibiting the functions of the microtubular structures of the cellular cytoskeleton. It is for this reason that these drugs are also called antimicrotubules, antimitotics or mitotic inhibitors. Paclitaxel (Taxol®) is the main representative of this group and was initially extracted from the bark of the species Taxus brevifolia of the Taxaceae family [6]. The history of these compounds in the field of the fight against cancer began when in 1959 the botanist Arthur Barclay, of the United States Department of Agriculture, brought some samples of the Pacific yew (Taxus brevifolia) obtained in the Gifford National Park Pinchot (Washington) to the Triangle Research Institute in North Carolina. Two scientists from this institution, Monroe Wall and Mansukh Wani, began researching yew in experimental models of leukemia in 1971, managing to isolate in 1976 a hitherto unknown compound which they called Taxol®, because it was found in some species of the genus Taxus. The results shown with this compound were so promising that the United States NCI requested the forest service of the Gifford Pinchot National Park for 30,000 kilograms of yew bark with the aim of continuing cytotoxic studies. However, the very low yield of paclitaxel provided by each tree and the strong opposition from different environmental movements meant that research was blocked in the following years. Furthermore, it must be taken into account that once the bark is stripped, the tree dies [7].
The results shown in the first in vitro trials with paclitaxel carried out during the 1970s and the problems described above, together with an almost certain extinction if yew had continued to be used as a natural source of paclitaxel, led to a crazy race by scientists to achieve a total synthesis of this compound. It was for this reason that between 1984 and 1993, more than 30 groups of researchers dedicated themselves to the task of achieving the total synthesis of the chemical structure of paclitaxel. Due to the difficulty in the synthesis, most of the chemists who were working to find the synthetic route were inclined to search for a chemically related compound and, from there, carry out a semi-synthesis. The center of the molecule, generically called taxane, was the starting point. For this, two analogous compounds were found that are extracted from the leaves of a European species of the genus (Taxus baccata L. of the Taxaceae family). From these two precursors, called baccatin III and 10-deacetylbaccatin III, it is possible to carry out the semisynthesis of paclitaxel without affecting the Taxus brevifolia species [7] This strategy finally led to the publication of six total syntheses of this compound from 1994 to date, without resorting to the natural source. The first total synthesis was published by Holton [8] and the following year Nicolau’s was published in a series of four articles in the same volume in the prestigious Journal of the American Chemical Society [9]. A couple of years later, Danishefsky published another total synthesis [10] and in subsequent years some more were published [11]. As a consequence of their antineoplastic activity, taxanes such as paclitaxel (in monotherapy or in combination with other cytostatics such as cisplatin or carboxyplatin) [12] have been widely used for the treatment of different types of tumors such as breast and ovarian, lung, bladder, prostate, melanoma, esophagus and also other types of solid cancer tumors, including the treatment of Kaposi sarcoma [13].
Starting in 2000, and with the aim of improving the tolerability of taxanes, as well as reducing their toxicity and the clinical resistance shown by some types of tumors, many efforts were carried out to find new formulations for this type of drugs (i.e. using albumin, nanoparticles, emulsions, liposomes or polyglutamates), also obtaining some analogous compounds and prodrugs, including orally bioavailable formulations [14].
Alkaloids Derived from Vinca: Vinblastine, Vincristine and Analogues
Alkaloids derived from the plant Catharanthus roseus (L.) G. Don, included in the Apocinaceae family and native to Madagascar (previously known as Vinca rosea L.), present a large number of therapeutic effects, including some chemical compounds with antiproliferative action. Research carried out since 1955 allowed the isolation of around 60 alkaloids of this species, of which vinblastine (isolated in 1958 by Noble [15] and approved by the FDA in 1964) and vincristine (isolated in 1960 by Svoboda et al. [16] and approved in 1963 by the FDA) are the most important medicinally speaking. Figure 1 shows some of the vinca derivatives with the highest cytotoxic activity. The plant drug is made up of the leaves, where these derivatives are present. However, the problem is the very low concentration of alkaloids in the plant (0.00025% of the dry weight of the leaf in the case of vinblastine), which makes extraction extremely expensive. In fact, with one kilogram of vinca leaves only 400 milligrams of vinblastine or 10 milligrams of vincristine can be produced, hence the high price of these drugs in the pharmaceutical market. This has caused widespread debates about the exploitation rights of this species, for which Madagascar (the country of origin of the plant from which the samples used in the clinical trials were obtained) never made a profit [7]. The first research in the oncological field with this plant was carried out in 1958 at the University of Ontario by Noble and Beer, who administered the alcoholic extract of the leaves to rats, observing a decrease in white blood cells in the animals’ blood. This fact led to it being tested in experimental leukemia models as a next step, observing the same phenomenon.
Thanks to these studies, it was determined that the alkaloid vinblastine responded satisfactorily in cases of Hodgkin’s lymphoma and experimental solid tumors [15] Subsequently, Svoboda (from the pharmaceutical company Eli Lilly) demonstrated that an extract containing vinblastine presented cytotoxic activity against the cell line. P1534 (murine leukemia) [16]. From this study, a second alkaloid was isolated, vincristine, which was tested in lymphocytic leukemias, Hodgkin’s disease and various childhood cancers, such as Wilms tumor [17] After the discovery of the antitumor properties of these two compounds, significant efforts have been carried out in the field of synthetic organic chemistry with the aim of solving the problem of costly extraction due to the low concentration of the active ingredient in the plant. This led a large number of research groups specializing in organic synthesis to look for a synthetic route to obtain these derivatives through total synthesis in the laboratory, especially as a result of the structural studies carried out with vinblastine and vincristine and which allowed know exactly its molecular structure [16,18,19]. In fact, since the 1970s, many studies have been carried out aimed at obtaining chemical derivatives of vinca [20] including several total syntheses of vinblastine, vincristine and other of its derivatives [21]. In recent years, vincristine and vinblastine have been incorporated in the treatment of different solid tumors. Vinblastine sulfate is used in certain types of cancer, such as Hodgkin’s lymphoma, (achieving a good percentage of complete cancer remissions), non-Hodgkin lymphomas, breast cancer, karyocarcinoma, Kaposi sarcoma or testicular cancer.
For its part, vincristine sulfate has been shown to have very good control in cases of acute lymphoblastic leukemia, rhabdomyosarcomas or neuroblastomas, which did not achieve a good response with other therapies.
Another group of chemical compounds originally isolated from natural sources are those whose biological target is DNA topoisomerase enzymes. These enzymes are involved in the unwinding of the DNA double helix, a necessary step for the action of the other enzymes that participate in the process of DNA replication, recombination, repair and transcription. As the DNA topoisomerase enzyme is crucial in the DNA replication process, it is, therefore, a necessary enzyme for the cell and its incorrect functioning would lead to cell death. Due to this, this molecule has been studied as a target molecule for a wide variety of antiproliferative drugs against cancer. Thus, drugs that act against these enzymes have been studied as anticancer in a wide variety of solid and blood tumors, showing a wide variety of pharmacological properties and side effects [22].
a) Camptothecins
Camptothecins are a group of cytostatic drugs that have shown antitumor action against a wide variety of malignant tumors, including lung, colon and breast. Camptothecin was isolated for the first time in 1958 by Wall and Wani from the bark and leaves of the Chinese tree Camptotheca acuminata Decne (Cornaceae family). These authors, who a few years later would discover the antitumor properties of paclitaxel, were systematically studying natural products that presented possible antitumor properties. However, the first cytotoxic studies with extracts of this plant were carried out by Wall’s group in 1954, where the extract showed activity against the 755breast carcinoma cell line [23] this study constituting the point of starting point for future cytotoxic studies with this plant. The molecular structure of camptothecin (Figure 2), along with different cytotoxicity tests against some types of cancer, was published in the Journal of the American Chemical Society in 1966 by this research group [24]. Over the years, and with the progress in preclinical and clinical trials carried out with this drug, it was observed that camptothecin had a series of important disadvantages, among which mainly a low solubility in water at physiological pH stands out ( main drawback), adverse secondary reactions and the fact that the concentration of alkaloid in the plant was relatively low (the bark, roots and fruit of this plant present 0.01, 0.02 and 0.03% by weight of camptothecin respectively), so its extraction was inefficient and expensive to carry out the corresponding clinical trials.
Due to these three drawbacks, synthetic organic chemists and specialists in medicinal chemistry began searching for a total synthesis of this derivative [25] as well as for new analogous compounds that would improve both the solubility and the side effects that had been found in the preliminaries trials with camptothecin. As an example, Figure 3 shows the first complete synthesis obtained for camptothecin and published by Stork and collaborators [25]. The two most important analogues of camptothecin that have been used, and continue to be used today, for chemotherapy treatment against various types of cancer are topotecan and irinotecan [26]. In 1996, both drugs entered the clinical trial phase. for the clinical treatment of ovarian carcinoma and colorectal carcinoma, respectively [27]. Topotecan (Figure 4a) is a semisynthetic derivative of camptothecin, soluble in water and that has been used in salt form for the treatment of ovarian cancer, lung cancer and other types of cancer such as cervical cancer [28]. In fact, it was the first inhibitor of the DNA topoisomerase I enzyme that was marketed in October 2007 by the company GlaxoSmithKline for oral use, with two generic drugs approved in the European Union in the year 2010 [29]. Irinotecan (Figure 4b) is the other semisynthetic derivative of campotothecin. This drug received a first approval from the FDA in 1996 [30] while two years later it obtained final approval for its use in chemotherapy treatments [31]. It is currently used as a key drug in the treatment of colorectal cancer in combination with other drugs forming what is called the FOLFIRI regimen [32]. The term FOLFIRI comes from the three chemical compounds that are administered together against the colorectal tumor: FOL (folinic acid or leucovorin), F (5-fluorouracil) and IRI (irinotecan).
b) Epipodophyllotoxins
Epipodophyllotoxins are natural substances present in the root of the American mandrake (Podophyllum peltatum L. of the Berberidaceae family and native to the eastern United States). All epipodophyllotoxins exert their mechanism of antitumor action by interaction with the enzyme DNA topoisomerase II, which leads to an inhibition of its activity and DNA replication cannot be completed correctly. This effect leads the cell to death via apoptosis. Among the compounds present in this plant that have shown antitumor activity in vitro and in vivo tests, podophylltoxin (present in 0.3-1.0% (m/m) in the root of Podophyllum peltatum) and α- and β-peltatin stand out. On the other hand, two semisynthetic glycosides have been developed from the compound dimethyl-4-epipodophyllotoxin (an epimer of podophyllotoxin), known as etoposide and teniposide, and which have had important relevance in the field of chemotherapy [33]. Etoposide (Etopophos®, one of the trade names of the drug), used in the form of etoposide phosphate and whose chemical structure is shown in Figure 5, has shown inhibitory activity against small cell lung carcinoma (SCLC), cancer of refractory testis, bladder cancer, non-Hodgkin lymphoma, Kaposi’s sarcoma and acute lymphocytic leukemia [34]. It appears that the mechanism of action involves the formation of a complex ternary between etoposide, DNA and the enzyme DNA topoisomerase II, which causes the DNA strands to break [35] and prevents the DNA replication process and, therefore, cell division.
As cancer cells divide more rapidly than healthy cells, this drug is slightly selective, leading to apoptosis of tumor cells [36]. Figure 5 shows the synthetic route proposed by Silverberg and collaborators to obtain the derivative Etopophos [33]. On the other hand, teniposide (Figure 6c) has shown significant antiproliferative activity in acute lymphocytic leukemia (second-line treatment in combination with other drugs [37]), non-Hodgkin lymphoma, and brain and bladder tumors in adults and children [38]. The mechanism of action It is based on stabilizing the union between DNA topoisomerase II and DNA, through the formation of a ternary complex similar to that formed with etoposide. This complex prevents the reorganization of broken DNA strands, therefore preventing the correct condensation of chromosomes. As in the other cases discussed in this review, a large number of total syntheses of this type of derivatives and other analogues have been carried out in recent years [33,39].
Angiogenesis is the physiological process that consists of the formation of new blood vessels from preexisting vessels. This process is crucial for cell growth, since cells need blood vessels to obtain the oxygen and nutrients necessary for their metabolism, as well as to eliminate the carbon dioxide generated as waste in these biological reactions. Tumor cells have modified genes and generate different proangiogenic factors, of which the most important is known as Vascular Endothelial Growth Factor (VEGF) [40] this being one of the reasons why this type of cells are capable of proliferating without control and generating metastasis [41] Due to this, drugs that inhibit the angiogenic process are a good strategy for the chemotherapeutic treatment of malignant tumors and for prevent metastases. Examples of this type of drug are epigallocatechin gallate or combretastatin A4.
a) Epigallocatechin Gallate
Epigallocatechin gallate (Figure 7a), an ester derived from gallic acid, is the most abundant polyphenolic constituent in green tea (dry un fermented leaves of the Chinese species Camellia sinensis (L.) Kuntze belonging to the Theaceae family). This compound and other related catechins are responsible for the benefits associated with the consumption of green tea, mainly due to their antioxidant properties or as skin protectors against ionizing radiation, among others. However, in the field of cancer research, this polyphenolic derivative has gained importance in the last twenty years due to its ability to inhibit angiogenesis [42]. In fact, its antiangiogenic activity has been evaluated in different in vitro and in vivo assays, which showed that EGCG inhibits the proliferation of endothelial cells in vitro [43] as well as the angiogenic process in vivo [44]. Furthermore, subsequent studies indicated that this compound inhibits the growth of NL17 cell lines (carcinoma of colon) and Meth A (fibrosarcoma), thanks in part to an in vitro inhibition of angiogenesis and a reduction in the activity of different matrix metalloproteins (MMP) directly involved in this vascular growth process.44 From a chemical point of view, Li and Chan achieved the first chemical synthesis of epigallocatechin gallate in 2001 [45] using synthesis protocols already established for other catechins and phenolic derivatives during the 1990s [46]. It should be noted that, in addition to attempts at total synthesis of this drug [45] and other analogous derivatives [47] different extraction or separation techniques have been used with the aim of trying to concentrate and isolate the compound from the plant [48].
b) Combretastatins
Another class of compounds recently studied for their antiangiogenic properties are combretastatins, phenolic derivatives naturally present in the bark of the Combretum caffrum of the Combretaceae family and from South Africa. One of its derivatives, combretastatin A4 (CA4), was first isolated from this species by Pettit and collaborators in 1989 [49]. From a medical point of view, there are many derivatives of this family that have shown antiangiogenic potential, although the one with the greatest clinical importance so far and the first to reach the clinical evaluation phase has been CA4 (Figure 7b) [50]. Some studies demonstrated that CA4 weakens the endothelium thanks to its interaction with VE-cadherins [51] a type of cadherins that are key in cell adhesion of the endothelium and, therefore, in the integrity of blood vessels. Furthermore, it seems that the antiangiogenic action of CA4 could also be associated with the Raf-MEK-ERK (MAP kinase) signaling pathways and the Rho/Rho kinase-dependent pathway [52]. Currently, CA4 is active against colon and lung cancers. and leukemia, being considered by some authors to be the phytomolecule with the greatest cytostatic activity that has been isolated [53]. Since the discovery of the antitumor properties of these compounds, especially the CA4 derivative, research has been carried out on the rational design of new molecules capable of mimicking the biological activity of CA4. In this sense, CA4 became a seed for obtaining other compounds that improved efficacy through structure-activity relationship (SAR) studies [54]. This is why in recent years they have been synthesized and evaluated in in vitro assays a large number of combretastatin analogues and derivatives [55]. including a water-soluble prodrug (combretastatin A4 phosphate) [56].
Histones are proteins responsible for the condensation and stabilization of DNA in eukaryotic cells. This stabilizing effect is achieved thanks to the fact that the positive charges present in the amino groups of different lysine and arginine residues of histone proteins interact electrostatically with the negative charges of the phosphate groups of DNA, stabilizing the histone-DNA complex. However, for the gene transcription process to function correctly, it is necessary that the histone-DNA affinity weakens at certain times of the cell cycle so that the parental DNA strand serves as a template for the synthesis of a new RNA molecule. This is achieved through multiple acetylation reactions inside the cell nucleus, reactions that are catalyzed by enzymes called histone acetyltransferases (HAT) and that convert the amino groups of the lysine and arginine residues into amide groups, thus decreasing the positive charge. in histones and, therefore, the affinity between histones and DNA. On the contrary, the role of histone deacetylases (HDAC) is to eliminate the acetyl groups incorporated into the lysine and arginine residues of histones, which again increases the affinity with DNA and prevents the transcriptional process of genes. Therefore, these reversible acetylations of nuclear histones are an important mechanism of gene regulation in cells. Thus, chemical compounds that inhibit histone deacetylases can cause deregulation in the gene transcription process that can lead to cell death, making them good candidates for cancer treatment.
On the other hand, it is interesting to note that histone deacetylases also act against non-histone proteins, such as p53, HIF-1α, Rb or β-catenin, which reinforces the antitumor action of drugs that inhibit this type of enzyme [57]. Some examples of histone deacetylase inhibitors extracted from plant sources are pomiferin or sulforaphane.
A. Pomiferin
Pomiferin (Figure 8) is an isoflavone found in the fruits and female leaves of the Osage orange tree or Louisiana orange tree (Maclura pomifera (Raf.) C.K.Schneid of the Moraceae family), a tree native to the southern United States. This flavonoid pigment was already identified in 1939 by Wolfrom and his group at Ohio State University [58] publishing its chemical structure seven years later, along with another analogous derivative called osajina [59]. These two isoflavonoid compounds have been studied together for decades by their properties as insect repellents [60] antioxidants [61] cardioprotective [62] antimicrobial [63] or antidiabetic [64]. In addition of these well-known properties for a long time, its antitumor action was studied for the first time in 2005 in an article published by Svasti and collaborators in which an inhibition in the growth of the HuCCA-1 (cholangiocarcinoma) cell line was observed after treatment. with pomiferin as a consequence of the proapoptotic effects exerted by the drug, which included nuclear DNA fragmentation [65]. Two years later, in another study carried out with pomiferin, observed good results in the inhibition of histone deacetylase enzymatic activity (with IC50 values around 1 μM), which translated into high cytotoxic activity against six cell lines of different histology: ACHN (renal carcinoma), NCI-H23 (lung carcinoma), PC-3 (small cell prostate carcinoma), MDA-MB-231 (hormone-independent breast cancer), LOX-IMVI (amelanotic melanoma) and HCT-15 (colorectal adenocarcinoma) [66]. Despite the encouraging results obtained in the preclinical trials mentioned above, the drug has not yet reached the clinical evaluation phase.
For many years, a diet rich in vegetables such as broccoli (Brassica oleracea L. var. italica Plenk) or cabbages (Brassica oleracea L.) has been linked to a lower incidence of certain types of cancer, including breast, lung, prostate or colon. This relationship is supported by a multitude of studies published in highly prestigious international journals in the field of nutrition and cancer [67]. Sulforaphane is an organosulfur derivative of the isothiocyanate group that is produced naturally after the hydrolysis of glucoraphanin, a glucosinolate present in different vegetables of the Crucifera family (mainly in broccoli and Brussels sprouts). after ingestion of this type of vegetables in a reaction catalyzed by the enzyme myrosinase and which is favored by the action of certain hydrolases of the microbiota existing in the cecal portion of the large intestine [68]. It is known that between 60-80% of the glucoraphanin ingested can be converted into sulforaphane [69] which is rapidly absorbed by diffusion in the intestinal epithelium thanks to its hydrophobic character and its low weight. molecular, subsequently incorporating into the mercapturic acid pathway to become part of the corresponding metabolic reactions [70]. Figure 9 shows the hydrolysis reaction of glucoraphanin. The research conducted with sulforaphane as a chemopreventive against the appearance of cancer is extensive and there are many studies published on the matter. In general, sulforaphane affects the expression of genes directly involved in the regulation of the cell cycle, in apoptotic processes, responses to oxidative stress or even in the metabolism of toxins of xenobiotic origin [71], including studies in which this derivative paralyzes the transformation. of certain types of healthy cells into tumor cells and exerting a protective effect that stops the progression of cancer [72].
In addition, in the last ten years, several phase I and II clinical trials have been carried out using sulforaphane, although they are still in progress or have already been completed with the aim of evaluating parameters such as safety, tolerance, pharmacokinetics or therapeutic benefits in healthy patients or with various types of cancer [73] However, despite all the Despite the efforts made and the large number of preclinical and clinical studies (only a few have been referenced here), sulforaphane appears to still have a long way to go before being approved by the FDA or EMA for the treatment of human diseases, including cancer. On the other hand, due to the promising antineoplastic properties of this drug, research is currently being done into a chemical synthesis that would allow obtaining large quantities of sulforaphane. Although racemic R,S-sulforaphane was first obtained chemically in the laboratory by Schmid and Karrer in 1948 [74] it was not until after Zhang and collaborators published the cytotoxic bioactivity of this compound in 1992 [75] that the search for a total synthesis of this active ingredient became the goal of many synthetic organic chemistry groups [76]. This goal has not yet been achieved since most of the syntheses published to date use dangerous reagents or have too many reaction steps. An additional problem is that humans are only exposed to the R-sulforaphane enantiomer through their diet, so that studies conducted in humans over the last decades using sulforaphane- containing plants have been based on this enantiomer and not on S-sulforaphane or the racemic R,S-sulforaphane.
For this reason, many methods for the purification of the R-sulforaphane enantiomer have been based on the separation and/or purification of the compound from a complex mixture of isothiocyanates extracted from an aqueous solution of broccoli followed by hydrolysis with the plant enzyme myrosinase, although the yield was generally not high in the R-enantiomer. With the aim of chemically obtaining this isomer, some syntheses of the R [77] enantiomer have been published but, as mentioned above, they are not currently viable on an industrial scale.
The signaling pathways that include protein kinases are crucial in the regulation of several cellular processes related to cancer, such as cell proliferation or differentiation, apoptosis or the cell cycle. Incorrect regulation of these processes, for example due to the inactivation or modification of the activity of cyclin-dependent kinases (CDKs), can lead to a malfunction at the molecular level of the corresponding pathway, which causes the appearance of a cancerous process. In this sense, CDKs are important regulatory enzymes that allow the correct development of the cell cycle since they are involved in the transition between the different stages of the cell cycle G1/M and G2/S. Due to the important role that this type of biomolecules play in these cellular processes, as well as their involvement in different types of cancer, these kinases are an ideal biological target for some cytostatic drugs. For this reason, the search for mitotic kinase inhibitors has been a major objective by the scientific community in order to tackle neoplastic diseases. Examples of this type of inhibitors are, for example, roscovitine, thymoquinone or flavopiridol, although there are many more (some of them already immersed in different phases of clinical trials) [78].
a. Roscovitine
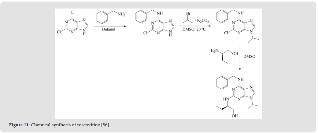
Roscovitine or seliciclib is an olomoucine derivative, originally isolated from the cotyledons of radish (Raphanus sativus L. of the Brassicaceae family). It is a drug belonging to the purine family and exerts its antitumor action due to its structural similarity with biologically important biomolecules such as ATP, cAMP or purine nitrogen bases. Specifically, roscovitine binds to the ATP-binding site of certain CDKs by interacting with specific amino acid sequences, such that this interaction prevents ATP from binding to the kinase, catalytically inactivating it [79]. For this reason, roscovitine has been used in different preclinical trials (showing inhibition of some signaling pathways such as Ras [80] JAK-STAT [81] or activating the tumor repressor protein p53, including also the induction of apoptosis in many cell lines [82] especially in cervical cancer [83]), as well as in phase I [84] and II [85] clinical trials during the last few years. However, although the preclinical evaluation was really satisfactory, the results obtained in the clinical trials carried out on cancer patients were not as expected. Several roscovitine derivatives have been synthesized at present and are expected to show better results in the near future. Figure 9 shows the chemical structures of roscovitine and some of its derivatives. In particular, roscovitine is obtained by chemical synthesis from 2,6-dichloropurine in a three-step reaction (Figure 10), [86] while some of its derivatives are also obtained chemically in the laboratory.
b. Thymoquinone
Thymoquinone (Figure 11) is one of the main chemical components of the oil obtained from the seeds of the species Nigella sativa L. (family Ranunculaceae), a plant also known as black cumin, which has been used for thousands of years for medicinal purposes in Asian countries and the Middle East. Thymoquinone was identified and quantified (with concentrations of up to 30%) in black cumin seed oils by Ghosheh and colleagues along with other compounds called dithymoquinone, thymohydroquinone and thymol [87]. From an oncological point of view, thymoquinone has shown cytotoxic activity in vitro against a wide variety of cell lines (breast, lung, prostate, liver, colon and pancreas), as well as cytotoxicity in vivo in different laboratory animal models [88]. Particularly interesting are the in vitro results found in several breast cancer cell lines (MCF-7, MDA-MB-231 and BT-474), in which it was observed that thymoquinone acts at the level of one of the so-called peroxisome proliferator-activated receptors (PPAR). Specifically, it produces the activation of PPAR-γ, a receptor involved in processes such as cell proliferation, differentiation and apoptosis [89] This activation in turn causes the activation of different caspases that ultimately lead to cell death via apoptosis. In addition, thymoquinone increases the levels of inhibitors of different CDKs, such as p21WAF1 and p27Kipl, thereby halting the cell cycle at different stages depending on the type of cancer (G0/G1 in colon, canine osteosarcoma and murine papilloma [90]; G1/S in prostate [91]; and G2/M in skin [90]).
Subsequent to these preclinical trials, some clinical trials with thymoquinone have been carried out with the aim of evaluating the in vitro and in vivo toxicity of the drug [92]. As an example, the phase I trial carried out by Al-Amri and his team is cited here, in which thymoquinone was administered orally to patients with advanced cancer, including patients with breast cancer. However, the authors confirmed that although there were no toxic effects, there were also no therapeutic benefits for the treated patients [93].
c. Flavopiridol
Flavopiridol or alvocibid is a semisynthetic flavonoid structurally related to the alkaloid rohituquine, isolated from the Indian plant Dysoxylum binectariferum (Roxb.) Hook.f. ex Bedd (family Meliaceae) [94]. This compound has been studied as a CDK inhibitor in a wide panel of cell lines, showing that it induces cell cycle arrest in the G1 and G2 phases. In fact, over the past decades, flavopiridol has been systematically studied at the NCI in the United States in in vitro assays, showing antiproliferative effectiveness in 60 cell lines of human origin and was the first CDK enzyme inhibitor to enter the clinical trial phase in 1994 as a first-line combination therapy for the treatment of chronic lymphocytic leukemia and acute myeloid leukemia [95]. Flavopiridol has shown antitumor action against the MCF-7 cell line (breast carcinoma) by inhibiting CDK1, CDK2, CDK4, CDK6 and CDK7 because it competes with ATP for the active site of each of the kinases, thus decreasing the activity of these enzymes [94]. It is for this reason that flavopiridol causes cell cycle arrest, followed by death via apoptosis [96]. As mentioned above, flavopiridol has shown in vitro effectiveness against MCF-7 cells (breast carcinoma). CLL (Chronic Lymphocytic Leukemia) [97] and promising results in clinical trials [98] which is why it has been used for the treatment of different solid tumors (hepatocellular carcinoma in combination with doxorubicin [99] ovarian carcinoma in combination with paclitaxel [100] breast cancer [101] prostate cancer [102] or uterine leiomyoma [103], as well as in hematological tumors (mainly leukemias) (Figure 12). From the chemical point of view, the first total synthesis of flavopiridol was published in late 1980 by Naik and collaborators [104] and in recent years new analogous derivatives have been developed by chemical modification of flavopiridol [105].
Since the dawn of mankind, plants have been an inexhaustible source of drugs for the treatment of a wide variety of ailments and diseases, some of which have a poor prognosis today, such as cancer. In order to obtain and produce new drugs in the pharmaceutical laboratory, it is first necessary to identify these active ingredients in different natural organisms, regardless of their habitat and distribution in nature. However, the low concentration in which the active ingredients are generally found in these species, together with the ecological interest in preserving them, pose a serious problem to the progress of medical and pharmaceutical research, mainly because abundant quantities of these substances are needed to study their medicinal properties in the corresponding preclinical and clinical trials. The development of organic chemistry and the different synthesis methods developed throughout the 20th century have been of vital importance to solve this problem related to the low concentration of bioactive molecules from plant organisms. Chemistry, in collaboration with other branches of science, has provided pharmacologists with the necessary resources to carry out the necessary studies and, ultimately, to bring more effective chemotherapy treatments to the rest of the population in the short and medium term, treatments that can be used to combat and defeat potentially fatal diseases such as cancer.
Author Contributions: J.C.T. and J.D.-C. designed the study; J.C.T. and A.J.S-M. performed the literature search; J.M.T., J.D.-C. and A.J.S-M. screened the articles; J.C.T. and A.J.S-M. validated the screened articles; J.C.T and A.J.S-M. wrote original review; J.D.C. and J.C.T. reviewed and edited the manuscript. All authors interpreted the data and wrote the paper and read and approved the final manuscript. All authors have read and agreed to the published version of the manuscript.
This research received no external funding.
Antonio J. Segura-Muñoz is grateful to the Ph.D. Excellence Program “Nutrición y Ciencias de los Alimentos”.
