Claudia Carrada Torres2, Luiz Eduardo Imbelloni1*, Marcus Valadão3, Rodrigo Otavio Araujo4, Anke Bergmann5 and Carlos Gil Ferreira6
Received: July 16, 2024; Published: July 17, 2024
*Corresponding author: Luiz Eduardo Imbelloni, Av. Epitácio Pessoa, RJ, Brazil
DOI: 10.26717/BJSTR.2024.57.009056
Purpose: To evaluate the correlation between the presence of extramural vascular invasion (EMVI) by MRI and
the development of distant metastasis in patients with locally advanced mid-low rectal adenocarcinoma.
Methods: Sixty patients underwent pelvic MRI for local staging before and after neoadjuvant treatment. The
EMVI was checked on T2-weighted sequences for the presence of tumor signal expanding and changing the
contour of the vessel as well as nodules with irregular contour in vascular topography. Metastasis-free survival
curves were estimated using the Kaplan-Meier method; the comparison between them was done by Log-rank
test. The outcome was estimated by multiple Cox regression.
Results: After median follow-up of 39.3 months, we observed an increased risk of metastasis (HR=3.2, IC 95.0%,
1.0-10.3; p=0.051) and reduced metastasis-free survival from 33.77 to 25.17 months (p=0.041) in patients
with EMVI in pre-CRT MRI when compared with patients without EMVI. There was no statistically significant
association between metastasis onset and the presence of EMVI in post-CRT MRI.
Conclusion: The presence of EMVI in pre-CRT MRI is associated with increased risk of distant metastasis.
Keywords: Magnetic Resonance Imaging; Rectal Neoplasm; Neoplasm Metastasis; Neoplasm Invasiveness; Lymph nodes
Abbreviations: EMVI: Extramural Vascular Invasion; MRI: Magnetic Resonance Imaging; EMVI-MRI: Extramural Vascular Invasion Detected in Magnetic Resonance Imaging; CRT: Chemoradiotherapy; TME: Total Mesorecta Excision; LARC: Locally Advanced Rectal Cancer; CEA: Carcinoembryonic Antigen; CRM: Circumferential Resection Margin; T2W-MRI: T2 Sequence in MRI; LAR: Low Anterior Rectal Resection; APR: Abdominoperineal Resection; LVI: Lymphovascular Invasion; 5-FU/Lv: Fluorouracil in Bolus Followed by Leucovorin; MFS: Metastasis-Free Survival; HR: Hazard Ratio; RFS: Relapse-Free Survival; TNM: The TNM Classification of Malignant Tumors
Multidisciplinary treatment, including preoperative chemoradiation (CRT) followed by total mesorectal excision (TME) for locally advanced rectal cancer (LARC), is currently the standard method associated with improved local control, less toxicity and sphincter preservation. Despite the great improvements in locoregional control, little accomplishment has been achieved in terms of disease-free and overall survival rates. Distant metastasis remains a problem for patients with rectal cancer occurring in 30.0% to 40.0% of all cases indirectly demonstrating the ineffectiveness of the current neoadjuvant regimens [1,2]. In the 1970’s, it has been demonstrated the relevance of the presence of extramural vascular invasion (EMVI) as a prognostic factor and its association with increased incidence of visceral metastasis and poorer 5-year survival rates (43.0% with EMVI vs. 73.0% without EMVI) [3]. Consequently, in 1998, the histological evaluation of EMVI in the surgical specimen was included in the “Dataset Minimum for Colorectal Cancer Histopathology Reports”, published by The Royal College of Pathologists, as information that must be present on histopathological reports; in 2007 it was validated as a prognostic factor [4].
Further, in a study of 328 patients, was evaluated the prognostic value of some variables including age, gender, carcinoembryonic antigen (CEA), classification of malignant tumors (TNM) evaluation, tumor response, histological grade, angiolymphatic invasion and perineural invasion) and found an association between the presence of angiolymphatic invasion and advanced disease [5]. In addition, they found lower 5-year disease-free survival rates (71.4% vs 56.2%) and overall survival rates (86.7% vs 63.4%) among patients with angiolymphatic invasion [5]. Other studies have shown the presence of EMVI as an independent predictive factor for the development of lymph node metastasis [6] and synchronic distant metastasis [7]. Magnetic Resonance Imaging (MRI) of the pelvis is widely recognized as the diagnostic modality of excellence for the initial evaluation of rectal cancer, allowing an accurate staging for the best therapeutic choice. Moreover, it is a valuable tool to define which patients would benefit from a purely surgical treatment or neoadjuvant chemoradiation, by assessing the extent of the mesorectal involvement and surgical resection margin, as well as to identify the metastatic locoregional lymph node. The advent of high-resolution MRI in clinical practice has made EMVI detection prior to surgical treatment possible, which until recently was only feasible by histopathological evaluation. EMVI is the presence of malignant cells in the interior of blood vessels beyond the muscularis propria. It is present in 17.0 % to 52.0 % of all colorectal tumors. When identified in the histological analysis of the surgical specimen it is associated with locally advanced tumors, higher rates of local and distant recurrences, and worse overall survival rates [7- 10].
The normal outer rectal wall is perforated by numerous small venules, which appear as low to intermediate signal intensity tubular structures at T2-weighted MR imaging. EMVI is recognized at T2- weighted MR imaging by the expansion and irregularity of these venules adjacent to the primary rectal tumor, due to contiguous tumor extension. The involved vein usually appears as an intermediate signal intensity with loss of the normal vascular flow void. EMVI may affect a single or more spots and can reach long distances, as superior rectal vessels [6]. In a review article with 142 preoperative MRI of patients with rectal and/or sigmoid cancer from the Royal Marsden Hospital and showed that the sensitivity and specificity of MRI in detecting EMVI was 62.0 % and 88.0 %, respectively [9]. The aim of this study is to evaluate the association between the presence of extramural vascular invasion (EMVI) by MRI and the development of distant metastasis in patients with locally advanced mid-low rectal adenocarcinoma.
This study has received approval from our institution´s ethics committee A prospective analysis was conducted using clinical, radiological, and histopathological findings of 60 patients, enrolled in our institutional randomized trial (INCAGI004), in which two different neoadjuvant therapies were evaluated between November 2010 and December 2012. All eligible patients were randomized into 2 groups of neoadjuvant (CRT) balanced for age, gender, race, degree of tumor differentiation, clinical stage, and tumor location. Eligibility criteria were middle and inferior rectal adenocarcinoma (tumor as high as 10 cm from the anal verge by retosigmoidoscopy), locally advanced tumor (T3, T4 or any thoracic level with positive nodes) without distant metastasis and without previous treatment.
Chemoradiotherapy Regime
All 60 patients were treated with a neoadjuvant chemoradiotherapy (CRT). Twenty-nine patients were treated with 825mg/m2 capecitabine administered orally twice a day for 5 days per week, associated with concurrent radiotherapy (25 fractions). Thirty-one patients were treated with 350 mg/m2 5-fluorouracil in bolus followed by leucovorin 20mg/m2, both administered in bolus intravenously, from day 1 to day 5 and day 29 to day 33, concurrent with radiation therapy (25 fractions of 1.8 Gy). All 60 patients completed the neoadjuvant treatment, underwent curative surgery, and were treated with adjuvant chemotherapy according to the pathological staging.
Image Analysis
All patients underwent pelvic MRI for local staging before and after neoadjuvant treatment. Restaging was scheduled 6–8 weeks after completion of CRT. All MRI examinations were performed at 1.5 T system with a phased array body coil (Achieve, Philips medical system, best The Netherlands) following the use of anti-peristaltic intravenous; T2W-MRI in three orthogonal directions (axial, sagittal, and coronal) were included. Additional axial diffusion-weighted images were obtained. All MRI examinations were evaluated systematically for the presence of EMVI, degree of circumferential involvement and morphology, location and stage, circumferential resection margin (CRM) and lymph node involvement solely by one radiologist with expertise in oncology. EMVI was identified as a serpiginous extension of the tumor signal within a vascular structure. The EMVI scoring system, which considers the presence of EMVI when 1) the involved vessels have a slightly expanded contour and caliber (score 3 or 2) the involved vessels have an obvious irregular contour or nodular expansion (score 4), was used, in accordance with recommendations published in 2008 [9].
Surgery and Histopathologic Variables
All patients were scheduled for surgery 6-8 weeks after completion of neoadjuvant treatment. The operation consisted of either a low anterior rectal resection (LAR) or abdominoperineal resection (APR); total mesorectal excision (TME) was performed in all cases to ensure radicality. The histopathological analysis of the surgical specimen was performed according to our standardized institutional protocol [11]. Hematoxylin-eosin (H-E) stained slides of each tumor were assessed for lymphovascular invasion (LVI), which is defined as the presence of tumor cells within the endothelium-lined space lumen or the destruction of a lymphovascular wall by tumor cells. In our institution, the histopathologic reports contain only the presence or absence of LVI and do not specify whether the invasion is vascular or lymphatic. Moreover, we evaluated the diagnostic performance of MRI-detected EMVI using pathologic LVI as the standard of reference. Adjuvant chemotherapy was given according to pathological staging. Patients with ypT0-2N0 tumors underwent 5-FU/Lv and patients with ypT3-4 or ypN1 tumors were given oxaliplatin plus 5-FU/Lv.
Statistical Analysis
Disease-free survival was defined as the interval between the time of surgical resection and the first relapse, death, or last follow-up visit. Metastasis-free survival curves, according to the presence of EMVI in pre-CRT MRI and post-CRT MRI, were estimated using the Kaplan-Meier method; the comparison between them was done by Log-rank test. The distant recurrence risk was estimated by multiple Cox regression adjusted for local staging by MRI (T and N) and age. The p-value ≤ 0.05 was considered statistically significant. Statistical analysis was performed using SPSS version 18.0 (SPSS, California, USA).
The demographic and clinical characteristics of the included patients are summarized in Table 1. The median age of patients was 57.9 years. There were 32 (53.3%) male and 28 (46.7%) female patients. One patient with a synchronous tumor was excluded from relapse- free survival (RFS) analysis because this was a potential source of bias. Twelve patients were excluded for having metastatic disease at presentation and four patients for having a tumor limited to the rectal wall (T2). One patient who refused surgery after completing clinical response was excluded from the analysis. All patients completed the neoadjuvant CRT and surgical resections were undertaken at a median of 11.6 weeks (SD= 3.0) after completion of the neoadjuvant treatment. The follow-up characteristics of the included patients are summarized in Table 2. The incidence of EMVI in pre-CRT MRI was 45.0 % (27) and in post-CRT MRI was 41.7 % (25). Two patients showed resolution of the EMVI on post-CRT MRI and their tumors were limited to the rectal wall (ypT2N0) in the specimen evaluation. Sixteen (51.6%) pre-CRT MRI EMVI-detected patients had been allocated in the 5-FU arm and 11 (37.9%) in the capecitabine arm. Fifteen (48.4%) post-CRT MRI EMVI-detected patients had been allocated in the 5-FU arm and 10 (34.5%) in the capecitabine arm ( =). The test showed no differences between the two arms ( = 0.287 e 0.275, respectively).
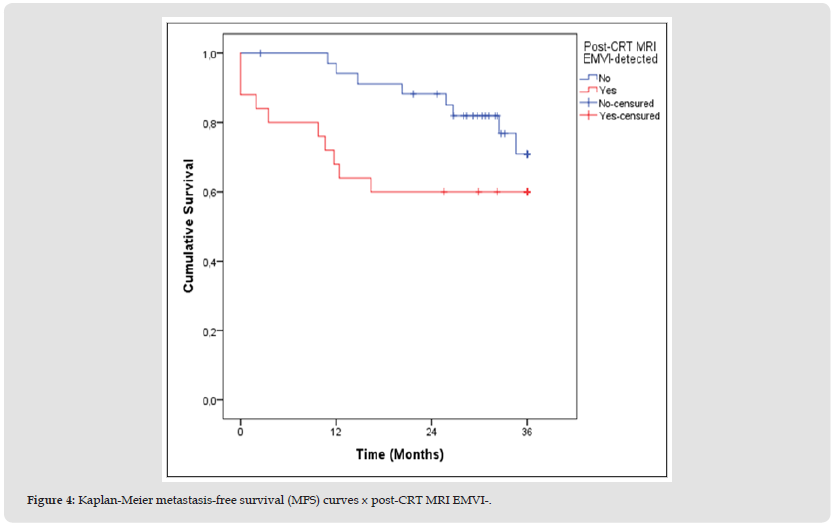
When compared with histopathologic study, the accuracy of post- CRT MRI in detecting EMVI was 67.0% (sensitivity, 100.0%; specificity, 63.0%; negative predictive value,100.0%). Eighteen patients (30.0%) had disease recurrence, 3 (4.8%) had local recurrence, and 15 (23.8%) had distant metastasis. Local recurrences were confirmed by MRI after clinical or endoscopic suspicion. Distant recurrences were diagnosed by computed tomography (CT) in 12 patients (Figures 1 & 2). Three patients had the diagnosis of distant recurrence during rectal surgery. Median follow-up was 39.3 months (6.2 – 52.9, 95.0 %CI). Three-year metastasis-free survival (MFS) curves for patients with and without pre-CRT MRI EMVI were significantly different (p=0.041, log-rank analysis), with time reduction for distant progression from 33.8 to 25.2 months, respectively (Figure 3). However, no statistical significance was found for the post-CRT MRI EMVI group (p=0.067) (Figure 4). The Hazard ratio (HR) for metachronous metastasis in patients with EMVI-detected in pre-CRT MRI compared to patients without EMVI-detected in pre-CRT MRI was 3.2 (95.0% CI,1.0- 10.3; p=0.051), adjusted for nodal status, T stage and age. However, no statistical significance was found for post-CRT MRI EMVI-detected in Cox regression (p=0.110).
The association between MRI EMVI-detected and local recurrence was not analyzed due to the reduced number of local recurrences (three patients) in our study.
The current study found higher incidence of EMVI-detected in pre-CRT MRI and in post-CRT MRI in comparison to retrospective studies [9-13]. This finding may be explained by the high prevalence of tumors in more advanced stages in our institution. Thirty-six (60%) of all eligible patients for the INCAGI004 clinical trial were IIIb or IIIc stages according to the 7th edition of the TNM / AJCC. Thirty-five (58.3 %) patients had extramural spread depth of 5 mm or more (T3c and T3d) or adjacent structures invasion (T4). And 36 patients (60.0 %) had at least one lymph node positive on MRI at the time of the initial diagnosis. In line with other research [14], we detected higher prevalence of EMVI-MRI when compared to pathology with high sensibility and negative predictive value of 100.0%. In addition, our findings support studies that have shown that MRI may be superior to conventional histopathologic analysis in detecting EMVI, either in patients submitted to primary surgery [15], or in those submitted to neoadjuvant treatment [16]. It has also been documented that the incidence of EMVI shows great variability among pathologists, according to different specimen processing techniques and their expertise. Specialist GI pathologists detected EMVI in 30.0% of cases compared with non-GI specialists for whom the EMVI detection rate was less than 10.0% [17].
Additionally, lymph and blood vessels are very similar in histologic assessment. Both are tubular structures surrounded by endothelial cells; when of small caliber it may not be possible to distinguish them without the use of elastic tissue staining [15]. In our institution, in accordance with recommendations from the College of American Pathologists [18], we do not routinely perform additional immunohistochemical staining to specify whether the invasion is vascular or lymphatic; this may partially explain the correlation between histopathologic analysis and MRI in detecting EMVI in our study. In this study, we only analyzed patients submitted to neoadjuvant CRT, which may have influenced the EMVI histopathologic status. It is known that radiation-induced destruction of veins or their invasion by a tumor(s) beyond all morphologic recognition may contribute to the significant false-negative rate in H & E staining, estimated to be at 10.0% to 30.0% [17]. The risk of distant progression, adjusted for local staging and age, was higher in positive EMVI-detected in pre-CRT MRI and there was time reduction for distant progression from 33.8 to 25.2 months when comparing with patients without EMVI in pre-CRT MRI (p=0.041, log-rank analysis).
Despite this result, the risk and the Kaplan-Meier curve remained similar when we evaluated the association between the presence of EMVI in post-CRT MRI and distant progression, and no statistical significance was found (p = 0.130 and 0.067, respectively). These findings suggest that EMVI-detected in pre-CRT MRI may be more predictive of distant progression than EMVI-detected in post-CRT MRI. Our findings agree with other research, which has considered EMVI-detected in MRI as a potential prognostic factor in locally advanced rectal tumors. Several studies have shown that the presence of EMVI in MRI is related to increased risk of synchronous [15¬-19] and metachronous metastasis. [13-21] It is believed that EMVI enables embolization of tumor cells via the portal circulation, thereby resulting in hematogenous metastasis in colorectal tumors [3]. These findings highlight the role of MRI in detecting this subgroup of patients with high-risk chance for distant relapse before neoadjuvant treatment and encourage the discussion of new treatment approaches, as induction chemotherapy.
In addition, in a study evaluating predictive factors for tumor response to neoadjuvant CRT, showed that MRI-detected EMVI is associated with poor response to traditional CRT schemes. Consequently, they have proposed that this subgroup of patients could benefit from induction chemotherapy [21].
Our study had some limitations. First, the number of patients included did not allow the analysis of the association between presence of EMVI according to the size of the affected vessel and distant recurrence and their related free-disease survival curves. Another limitation is the questionable reproducibility of these findings in other centers. All patients were part of an institutional clinical trial with well-defined and rigorous treatment regimens and imaging schedules; smaller centers may not have access to similar resources. Further, given that the study was carried out at a national reference center for cancer treatment, the radiologist and the entire team involved would have greater expertise than non-specialized professionals.
Three-year MFS curve for patients with pre-CRT MRI EMVI had a time reduction for distant progression when compared to the group without pre-CRT MRI EMVI from 33.8 to 25.2 months (p=0.041, logrank analysis). The Harzard ratio (HR) for metachronous metastasis in patients with EMVI-detected in pre-CRT MRI to patients without EMVI-detected MRI was 3.2 (95.0% CI,1.0-10.3; p=0.051), adjusted for nodal status, T stage and age.
