Jeyadev Needhi*, Deepan Kumar K, Vishnu G and Vignesh B
Received: June 20, 2024; Published: July 03, 2024
*Corresponding author: Jeyadev Needhi, Department of Computer Technology, Anna University, MIT Campus, Chennai, India
DOI: 10.26717/BJSTR.2024.57.008992
Existing methods for simulating missile dynamics and training often rely on three degrees of freedom (3DOF) motions, limiting their ability to represent the complex maneuvers and targeting strategies of modern missiles. This paper proposes integrating virtual reality (VR) technology with six degrees of freedom (6DOF) dynamics to enhance the accuracy and efficiency of missile simulation and training. By incorporating 6DOF dynamics, simulations can capture the full range of missile motion, providing a comprehensive understanding of their capabilities and limitations. Through VR, users can immerse themselves in realistic missile scenarios, interact with dynamic behaviors in real-time, and refine their targeting and interception skills. The integration of VR with 6DOF dynamics also facilitates real- time feedback and evaluation, enhancing training efficiency and proficiency in missile operations. This approach aims to revolutionize missile training by bridging the gap between traditional simulation methods and real-world dynamics.
Keywords: 6DOF; Virtual Reality; Missile Dynamics; Simulation; Training; Immersive Technology
Abbreviations: 6DOF: Six Degrees of Freedom; 3DOF: Three Degrees of Freedom; VR: Virtual Reality; CFD: Computational Fluid Dynamics; TPN: True Proportional Navigation; ICMT: International Conference on Military Technologies; MR: Mixed Reality
The six degrees of freedom (6DOF) equations of motion are fundamental to simulating the dynamic behavior of missile systems. These equations encapsulate the missile’s translational and rotational movements across all axes, providing a comprehensive framework for understanding its flight trajectory and interactions with the environment. The 6DOF equations account for the missile’s ability to move for- ward/backward, up/down, and left/right (translational degrees of freedom), as well as its capacity to pitch, yaw, and roll (rotational degrees of freedom). Translational movements involve changes in the missile’s position along the x, y, and z axes, while rotational movements pertain to alterations in its orientation relative to these axes. Solving these equations allows for accurate predictions of the missile’s path, velocity, and attitude under various conditions, including changes in propulsion, aerodynamics, and external forces.
Traditional methods for simulating missile dynamics often rely on three degrees of freedom (3DOF) motions, which limit the representation of complex maneuvers and targeting strategies employed by modern missiles. This limitation hinders effective training and understanding of missile systems, as they fail to capture the full range of missile behavior. To address these shortcomings, this paper proposes integrating virtual reality (VR) technology with 6DOF dynamics. By incorporating 6DOF dynamics into simulations, we can capture the full range of motion and behavior exhibited by modern missiles, providing a more comprehensive understanding of their capabilities and limitations.
The integration of VR technology enhances the simulation experience by allowing users to immerse themselves in realis- tic missile scenarios. Users can interact with and observe the dynamic behavior of missiles in real-time, developing a deeper understanding of missile dynamics and refining their skills in targeting and interception strategies. Furthermore, the use of VR facilitates real-time feedback and evaluation, allowing users to assess their performance and adapt their strategies accordingly. This iterative learning process enhances training efficiency and proficiency in missile operations. By bridging the gap between traditional simulation methods and real-world missile dynamics, this paper aims to revolutionize the way missile systems are trained for and understood. The integration of VR technology with 6DOF dynamics offers a promising approach for advancing simulation accuracy, training efficacy, and overall proficiency in missile operations. Advances in VR technology provide an immersive environment where users can experience missile dynamics as if they were in the actual operational theater. This not only enhances the realism of the training but also allows for the inclusion of various environmental variables and unpredictable scenarios, crucial for developing adaptive and robust strategies in missile operations. The interactive nature of VR enables trainees to experiment with different maneuvers and tactics, observing the immediate effects of their decisions in a controlled yet dynamic setting.
The use of 6DOF equations allows the simulation to ac- count for every possible movement and rotation, making it a powerful tool for both training and research. By simulating real-world physics and aerodynamics with high accuracy, trainees can better understand the limitations and capabilities of the missile systems they operate. This comprehensive understanding is essential for making informed decisions during actual missions, where split-second judgments can mean the difference between success and failure. The proposed system aims to integrate these technologies into a cohesive framework that trains and evaluates user performance. Real-time data analytics can provide insights into user behavior, helping to identify areas for improvement and tailoring training programs to individual needs. This personalized approach ensures that each user can achieve a high level of proficiency, regardless of their starting skill level. This paper presents a novel approach to missile training by integrating VR and 6DOF dynamics, offering a more immersive, accurate, and effective training solution. The following sections will delve into the details of related work, system architecture, mathematical modeling of 6DOF dynamics, and the results of our extensive simulations.
(Miedzin´ski, et al. [1]) conducted a study on ”Missile Aerodynamics Model Identification Using Flight Data” pre- sented at the IEEE Aerospace Conference. They proposed a methodology for predicting and identifying a missile’s aerodynamic characteristics based on flight data analysis. However, their work highlighted limitations in computational fluid dynamics (CFD) accuracy and the low accuracy of semi- empirical models for non-typical geometries. Addressing these limitations can lead to more accurate aerodynamic models and improve the reliability of missile trajectory simulations and predictive capabilities. (Dang, et al. [2]), in the International Journal of Computational Methods and Experimental Measurements, proposed a comprehensive mathematical framework for simulating the operation of air-to-air missiles on fighter aircraft. Their work exhibited limitations, including the neglect of lift and gravitational forces and an assumption of constant target detection by the system. Additionally, impact calculations were not measured, limiting the accuracy of the simulation’s predictive capabilities. Despite these constraints, the framework serves as a valuable resource for further refinement and enhancement in modeling realistic missile dynamics and engagements.
(Purnawan, et al. [3]), in their work ”Mathematical Modelling and Simulation of Missile Firing Impact Force on Warship,” presented at the International Seminar on Research on Information Technology, developed a 3-degree-of-freedom (3-DOF) ship model to investigate the impact force of missile firing on warships. However, their study was limited to a specific type of ship model and relied on assumptions to obtain impact force and moment data, introducing uncertainties and potential inaccuracies in the analysis. Despite these limitations, the research provides valuable insights into the dynamic interactions between missile firing and warship response, laying groundwork for further investigations into mitigating the effects of missile impacts on naval vessels. (Guilherme Da Silveira [4]) emphasized the importance of digital simulation in designing and operating launch vehicles. They highlighted the trend of using generic and flexible simulators to reduce time and cost, the development of launch vehicle simulators by various entities, and the emphasis on the flexibility of the RTS architecture for simulating different types of launch vehicles.
Wang and Wang (2017) proposed a projectile missile flight simulation system using Unity3D in ”Research on Simulation System of Missile and Arrows Based on Unity3D.” Their simulation was limited to a 2D curve representation, lacking real-time visualization of projectile flight attitude and trajectory. This limitation underscores the need for advancements in simulating and visualizing projectile flight trajectories in three-dimensional space. Enhancing real-time visualization is crucial for providing a comprehensive understanding of missile dynamics and improving training efficacy. (Buzantowic [5]) developed a Matlab script for 3D vi- sualization of missile and air target trajectories, published in the International Journal of Computer and Information Technology. Although the script provides a valuable resource for visualizing trajectory dynamics, it is restricted to the Matlab environment, limiting its accessibility and interoperability with other simulation platforms. This highlights the importance of developing open-source and platform-independent solutions for trajectory visualization in missile simulation.
(Cross, et al. [6]) conducted a literature review on ”Using Extended Reality in Flight Simulators” in the IEEE Transactions on Visualization and Computer Graphics. They surveyed the use of augmented reality, virtual reality, mixed reality, and extended reality in flight simulators, exploring their potential to enhance training activities.
Their study primarily focused on the theoretical aspects and potential impacts of extended reality technologies on flight simulation, rather than providing practical implementation guidelines. Further research is needed to evaluate the effectiveness and feasibility of integrating extended reality into existing flight training programs, ensuring that these technologies can be practically and effectively utilized in real- world training scenarios.
(Awad [7]) presented a study titled ”Evaluation and Enhancing Missile Performance via Real-Time Flight Simulation Model” in the International Journal of Computational Methods and Experimental Measurements. The authors focused on implementing the True Proportional Navigation (TPN) guidance law to enhance missile performance. However, their research identified limitations associated with the need for measuring closing velocity for accurate application of the TPN guidance law. Despite this challenge, Awad and Wang’s work represents a significant contribution to the field of missile guidance and simulation, laying the groundwork for further advancements in enhancing missile performance through real-time flight simulation models and guidance law optimization.
(Zhang, et al. [8]) in their work ”Ballistic Missile Trajectory Prediction and the Solution Algorithms for Impact Point Prediction” presented at the IEEE Chinese Guidance, Navigation, and Control Conference, focused on predicting target trajectories and designing high-precision algorithms for ballistic missile prediction. Their research encountered limitations due to the lack of standardized algorithms and inconsistencies in impact point prediction. Addressing these limitations can lead to more accurate and reliable prediction methodologies for ballistic missile trajectories. (Hamtil, et al. [9]) in ”The Air Defence Missile System Effective Coverage Determination Using Computer Simulation,” presented at the International Conference on Military Technologies (ICMT), focused on mathematical modeling and computer simulation to determine effective coverage in air- defense missile guidance processes. Their study encountered limitations due to the rarity of missile control and guidance systems, which restricted the applicability of certain procedures for determining effective coverage. Despite these challenges, their research provides valuable insights into computational approaches for assessing the effectiveness of air defense systems, paving the way for further advancements in simulation-based analysis and optimization of missile guidance strategies. These works provide a foundational basis for the development of more advanced and accurate missile simulation models, highlighting the need for integrating innovative technologies such as VR to enhance the realism and effectiveness of missile training and simulation [10-24].
The proposed work involves developing a comprehensive VR simulation system for accurately modeling missile dynamics and enhancing training effectiveness for defense personnel. The system architecture is shown in Figure 1. The initial phase involves gathering input parameters such as the missile’s initial position and orientation (6DoF), weight, fuel type, and engine performance. This data forms the foundation for constructing a VR simulation system capable of accurately modeling missile trajectory, impact dynamics, and target detection using advanced 6DOF equations of motion.
The 6DOF equations of motion can be represented as follows:

where F is the force vector, m is the mass, a is the acceleration vector, M is the moment vector, I is the inertia matrix, and α is the angular acceleration vector. The translational and rotational equations can be expanded as:

where r is the position vector, and ω is the angular velocity vector. These equations encapsulate ideal conditions. However, in practice, the missile’s dynamics are influenced by various environmental factors such as aerodynamic forces, gravitational forces, and external disturbances. The trajectory of the missile is calculated using numerical integration techniques applied to the 6DOF equations of motion. The inputs include initial conditions such as position, velocity, and orientation, as well as forces and moments acting on the missile.
Calculate 6DOF Missile Motion
1. Initialize parameters: position, velocity, orientation, mass, inertia matrix
2. Define time step and duration
3. For each time step do
4. Compute forces and moments
5. Update translational and rotational accelerations
6. Integrate accelerations to get velocities and positions
7. Update missile state
8. End for
The Visualization Module serves as a cornerstone in the missile simulation system, providing users with a visually rich and immersive experience. Its primary function is to render the three-dimensional environment, encompassing elements such as the missile, targets, terrain, and various objects. The impact calculation involves determining the point of impact for the missile based on its trajectory and target param- eters. This is achieved using collision detection algorithms and computational techniques to predict the location and timing of the impact event (Figure 2).
Missile Trajectory Simulation
1. Initialize simulation parameters
2. Set initial conditions: position, velocity, orientation
3. Define environmental conditions
4. Compute aerodynamic forces
5. Compute translational and rotational accelerations
6. Integrate accelerations to update velocities and positions
7. Update missile state
8. Determine impact point
9. Provide feedback on impact parameters
The implementation involves setting up a runtime environment, integrating VR and simulation components, and ensuring real-time performance. The runtime environment includes a VR-ready PC or standalone device, OpenXR supporting HMDs, Unity Engine, and OpenXR environment. Velocities and accelerations are computed by integrating the forces acting on the missile using numerical methods. These forces include thrust, drag, and gravitational forces, which are calculated based on the 6DOF equations of motion. The position and orientation of the missile are then updated based on these velocities and accelerations. The computed trajectory is visualized in the VR environment using Unity3D. This involves rendering the 3D scene, dynamic lighting, and shading to provide a realistic representation of the missile’s flight path.
Visualization Module
1. Initialize Oculus VR environment
2. Set up Unity3D for 3D scene creation
3. Implement Oculus integration
4. Render real-time environment
5. Apply dynamic lighting and shading
6. Incorporate Oculus-specific features
7. Continuously update scene based on simulation data
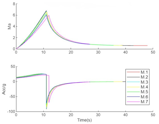
The user interaction module allows users to input preset missile data using spatial panels within the VR environment. Users can navigate menus and manipulate virtual objects using handheld controllers or hand-tracking technology, enhancing the interactive experience and allowing for real-time adjustments to simulation parameters. Figure 3 shows the user interaction within the VR environment, where users can input missile data and observe the effects of their inputs on the missile’s trajectory in real-time. Velocities and accelerations are computed by integrating the forces acting on the missile using numerical methods. The position of the missile is then updated based on these velocities and accelerations. This iterative process ensures that the trajectory of the missile is accurately modeled over time, accounting for changes in velocity and direction caused byexternal forces such as thrust, drag, and gravity. Figure 4 illustrates the evolution of the missile’s speed and acceleration over time, providing insights into how these parameters change throughout the missile’s flight.
The graph demonstrates the missile’s acceleration phase, steady flight phase, and deceleration phase, which are critical for understanding the overall performance and dynamics of the missile. Trajectory visualization is achieved through plotting the calculated positions of the missile over time. MATLAB’s plotting functions are used for 3D trajectories, providing a simulated environment for analysis. Figure 5 shows a sample trajectory of the missile in a 3D space, illustrating the path taken by the missile from launch to impact. Performance analysis involves assessing both visualization metrics and computational efficiency. Visualization metrics evaluate trajectory representation accuracy, while computational efficiency analysis examines execution time and memory usage. The results demonstrate the system’s ability to render high-fidelity simulations in real-time, providing users with an immersive and accurate training tool.
The analysis of the computed trajectory and dynamics indicates that the VR simulation system can effectively model the missile’s behavior under various conditions. The integration of 6DOF equations of motion and real-time visualization provides a comprehensive training environment that enhances understanding and proficiency in missile operations. The real- time feedback and interactive capabilities of the VR system allow users to refine their strategies and improve their performance based on detailed simulation data. Overall, the results obtained through the 6DOF equations and the VR simulation demonstrate the system’s potential to revolutionize missile training and simulation by providing a more realistic and immersive experience.
The development of a VR simulation system for accurately modeling missile behavior in complex operational scenarios marks a significant advancement in defense training and analysis. By leveraging 6DOF equations of motion and integrating them into a VR environment, we have created a realistic and immersive training platform. Future work includes:
• AI Integration: Integrating artificial intelligence algorithms to simulate realistic behaviors for both friendly and hostile entities, enhancing the complexity and authenticity of simulated engagements.
• Dynamic Scenario Generation: Developing dynamic scenarios with moving targets, changing environmental conditions, and complex terrain features to simulate real- world situations more accurately.
• Mixed Reality (MR) Integration: Exploring the integration of MR technologies for immersive missile system training. This involves developing applications for AR and VR devices to visualize missile trajectories and engagements in real-world environments, enhancing spatial awareness and training effectiveness.
In conclusion, the integration of VR technology with 6DOF dynamics offers a promising approach for advancing simulation accuracy, training efficacy, and overall proficiency in missile operations. Continued research and development efforts will focus on further refinement and expansion of the simulation capabilities, ultimately contributing to advancements in defense technology and strategy.
